電源入力用アルミニウム電解コンデンサの小型化技術について
2018年10月22日
はじめに
近年電子機器のモバイル化が急速に進んでおり、それに伴い電源やアダプターの小型化、軽量化などの市場要求が強まっている。しかし、電源に使用されるアルミ電解コンデンサは他の電子部品に比べてサイズが大きく、電源の小型化を進める際の妨げとなっていた。また、近年市場が拡大しているLED照明や車載機器といった分野では高温環境での長期信頼性と低温環境での動作保証が必要とされる。アルミ電解コンデンサは有限寿命部品であり、コンデンサの寿命が電源の寿命を決める要因となっている。また、低温領域で大幅に特性が低下するという問題もあり、車載機器などの市場においてはアルミ電解コンデンサの長寿命化や低温特性改善といった対策が必要不可欠となっている。
ルビコンではこれらの市場要求に対応するため、小型・高容量の電源入力用コンデンサを開発してきた。これまで105℃一般品としてQXWシリーズ、105℃長寿命品としてBXWシリーズを上市してきたが、市場での小型化要求の高まりに対応するため更に小型化した製品の実現に向け検討を進めた結果、2017年11月には105℃ 2,000~3,000時間保証のHXWシリーズ、2018年4月には105℃ 10,000~12,000時間保証のLXWシリーズをそれぞれ上市した。(図1)


シリーズの特長
HXWシリーズは一般電源やアダプター、LXWシリーズは照明機器や高信頼性が必要な機器を主な用途と考え開発を行なった。従来の機器の性能を維持したまま小型化を行うことができるよう、いずれのシリーズも従来品と同等の定格リプル電流を確保しつつ体積比で約20%小型化している。また、Φ10×60Lのような細径長Lタイプや高さ20mmの低背型などを含む豊富なサイズ体系とすることで基板設計の自由度を上げ、薄型電源など様々な形状の電源に使用することが可能となっている。カテゴリ温度範囲は定格電圧500V品まで-40℃対応しており、使用環境を問わず幅広い用途に使用することが可能である。
表1にHXWシリーズ、LXWシリーズの概要を示す。
| HXWシリーズ | LXWシリーズ | |
|---|---|---|
| カテゴリ温度範囲 | -40 ~ +105℃ | -40 ~ +105℃ |
| 定格電圧 | 400 ~ 500V | 400 ~ 500V |
| 静電容量 | 15 ~ 270µF | 15 ~ 220µF |
| ケースサイズ | 10×30 ~ 18×50 | 10×30 ~ 18×50 |
| 耐久性 | 2,000 ~ 3,000hr | 10,000 ~ 12,000hr |
本稿ではHXWシリーズ、LXWシリーズの開発にあたりポイントとなった技術要素として、小型化、低温対応、長寿命化の3点について紹介する。
(1)小型化
アルミ電解コンデンサでは陽極箔の表面に形成された酸化アルミニウムの層が誘電体となり電気を蓄えている。陽極箔にはエッチング処理によって微細なピットが形成されており、これによって表面積が拡大されている。エッチング処理による拡面化を行うことによりアルミ電解コンデンサは他のコンデンサと比べて非常に大きな静電容量を実現している。
アルミ電解コンデンサの静電容量は陽極箔の表面積に比例して増加する。このため、陽極箔のエッチング処理を進め表面積の拡大を行うことがコンデンサの高容量化には効果的である。しかし、エッチングによってアルミニウムの溶出量が増すため、エッチング処理を進めるほど陽極箔の強度は低下する。アルミ電解コンデンサは陽極箔を裁断し巻き取った構造であるため、これまで小サイズの製品では強度の低い陽極箔を巻き取ることは困難であった。
ルビコンでは製造する製品や使用する材料に合わせて最適な条件で製造できるよう、製造設備を自社開発してきた。特に高容量箔の巻き取り技術は長年に渡り開発を続けている。HXWシリーズ、LXWシリーズではこれまで培ってきた製造ノウハウを応用し、高容量で強度の低い陽極箔を小サイズの製品でも高精度に巻き取ることを可能とした。また、材料の面では従来品よりも高容量でありながら強度の高い陽極箔を新たに開発している。このような材料、製造両面における技術開発によって、HXWシリーズ、LXWシリーズでは製品の信頼性を損なうこと無く製品を小型化することに成功した。
コンデンサの小型化は機器の小型、軽量化の観点から非常に強い市場要求がある。HXWシリーズ、LXWシリーズはこのような市場要求に対応することのできる製品である。
(2)低温対応
車載機器や屋外に設置される電源の場合、冬季には低温環境での動作が必要となる。特に寒冷地では-30℃を下回る環境での動作が要求されるため、低温環境でも特性変化の小さい製品が必要である。その一方でアルミ電解コンデンサは低温での電気的特性変化が大きいという問題を抱えている。これはアルミ電解コンデンサの内部に使用している電解液の抵抗値が低温環境で急激に増大することに起因している。特に電源入力用に使用される電圧帯の製品では変化が顕著であり、屋外用の電源などでは低温環境で安定した電気的特性をもつ製品が求められている。
このような市場要求に対応するため、ルビコンでは2013年にQXWシリーズなどの従来製品をアップグレードし、定格電圧450V品までをカテゴリ下限温度-40℃対応とした。更にHXWシリーズ、LXWシリーズでは定格電圧500V品についても低温域で抵抗が上がりにくい電解液を開発した。これにより低温域におけるコンデンサの特性変化を抑え-40℃対応可能な製品を定格電圧500V品まで拡大することに成功した。
図3は定格電圧500V品の低温での静電容量変化率について比較したグラフである。従来品であるBXCシリーズは-15℃付近から容量が大きく減少しているのに対し、低温特性に優れた電解液を採用しているLXWシリーズは-30℃付近まで安定した特性を示している。従って従来の製品では困難であった低温環境への対応が可能となっている。

(3)長寿命化
照明機器用電源などに使用されるコンデンサには、長時間安定した特性を保つことが必要とされている。アルミ電解コンデンサは内部に電解液を使用しているため、長期間使用すると電解液が封止材を通して徐々に蒸散し最終的にドライアップによるオープン故障に至るという特徴がある。このため、長寿命化するためには電解液の蒸散を抑制するとともに、電解液そのものの劣化を抑えることが必要である。
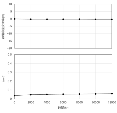
ルビコンでは50年以上に渡って電解液の配合ノウハウを培っており、照明を中心に長寿命を要求される分野において多くの実績を有している。LXWシリーズ用の電解液は、従来よりも低抵抗かつ高温度で長期間使用した場合にも安定した特性を維持することを目標として開発した。図4は105℃中におけるLXWシリーズの高温負荷試験データ(定格リプル重畳)である。105℃中で12,000hr経過した後も電気的特性は初期と大きな差が無く、非常に安定していることが分かる。
LXWシリーズは低温領域で優れた特性を示すのみならず、高温での耐久性にも優れた性能を有しているため、機器の使用環境を選ばず様々な用途に使用可能な製品である。

今後の取り組み
HXWシリーズ、LXWシリーズはサイズや電気的特性を高いレベルで両立させることで、様々な用途・機器に汎用的に使用できる製品となっている。本製品の開発によって得られた技術を活用し今後も更なる小型化を目指して開発を進める予定である。
更に電源のファンレス化や機器の小型化に伴うセット内部温度の上昇に対応するため、高温度環境にて長期使用可能な電源入力用コンデンサの拡充を検討している。また、極低温環境に対応可能な製品の開発も進める計画である。
終わりに
アルミ電解コンデンサは電源の入力平滑コンデンサに求められる高い耐電圧、大きな静電容量、安全性を兼ね備えたコンデンサである。また、同容量のコンデンサの中では比較的小型で安価な部品という優れた特長を持つため、多くの電源に使用されている。しかしその一方で電源基板上では比較的サイズの大きな電子部品であり、機器の小型化を進める際の妨げとなっている。機器の更なる小型化要求に対応するため、今後もアルミ電解コンデンサの小型化を念頭に置いた商品開発を継続する。
また、アルミ電解コンデンサの用途は年々拡大しており、車載機器など厳しい使用環境にも広く使用されるようになってきている。製品の小型化を進めるだけでなく、今後も高温度対応や極低温対応など市場の要求に対応した商品展開を継続的に進める所存である。
※本稿は、2018年8月23日発行の電波新聞「ハイテクノロジー」の掲載記事です。

